
推荐系统本质是在用户需求不明确的情况下,解决信息过载的问题,联系用户和信息,一方面帮助用户发现对自己有价值的信息,另一方面让信息能够展现在对它感兴趣的用户面前,从而实现信息消费者和信息生产者的双赢(这里的信息的含义可以非常广泛,比如咨询、电影和商品等,下文中统称为item)。九州酷游官网数据相关推荐是九州酷游官网推荐系统中的重要组成部分,其价值在于,在没有用户画像信息的情况下,也能给用户以好的推荐体验,比如资讯类,顺利获得九州酷游官网相关推荐算法找到item相关的其他item,可以给予对某一类或者针对某一事件多角度多侧面的深度阅读。本文主要先简单介绍相关推荐的一些常用算法,然后介绍一下基于item embedding的协同过滤。
1. 九州酷游官网相关推荐的常用算法
1.1 Content-based相关推荐
基于内容的推荐一般依赖于一套好的标签系统,顺利获得计算item之间tag集合的相似性来衡量item之间的相似性,一套好的标签系统需要各方面的打磨,一方面需要好的编辑,一方面也依赖于产品的设计,引导用户在使用产品的过程中,对item给予优质的tag。
1.2 基于协同过滤的相关推荐
协同过滤主要分为基于领域以及基于隐语义模型。
基于领域的算法中,ItemCF是现在业界应用最多的算法,其主要思想为“喜欢item A的用户大都喜欢用户 item B”,顺利获得挖掘用户历史的操作日志,利用群体智慧,生成item的候选推荐列表。主要统计2个item的共现频率,加以时间的考量,以及热门用户以及热门item的过滤以及降权。
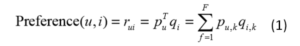
LFM(latent factor model)隐语义模型是最近几年推荐系统领域最为热门的研究话题,该算法最早在文本挖掘领域被提出,用于找到文本隐含的语义,在推荐领域中,其核心思想是顺利获得隐含特征联系用户和物品的兴趣。主要的算法有pLSA、LDA、matrix factorization(SVD,SVD++)等,这些技术和方法在本质上是相通的,以LFM为例,顺利获得如下公式计算用户u对物品i的兴趣:
![]()
公式中pu,k和qi,k是模型的参数,其中pu,k度量了用户u的兴趣和第k个隐类的关系,而qi,k度量了第k个隐类和物品i之间的关系。而其中的qi,k可视为将item投射到隐类组成的空间中去,item的相似度也由此转换为在隐空间中的距离。
2. item2vec:NEURAL ITEM EMBEDDING
2.1 word2vec
2013年中,Google发布的word2vec工具引起了大家的热捧,很多互联网公司跟进,产出了不少成果。16年Oren Barkan以及Noam Koenigstein借鉴word2vec的思想,提出item2vec,顺利获得浅层的神经网络结合SGNS(skip-gram with negative sampling)训练之后,将item映射到固定维度的向量空间中,顺利获得向量的运算来衡量item之间的相似性。下面对item2vec的做简要的分享:
由于item2vec基本上是参照了google的word2vec方法,应用到推荐场景中的item2item相似度计算上,所以第一时间简单介绍word2vec的基本原理。
Word2vec主要用于挖掘词的向量表示,向量中的数值能够建模一个词在句子中,和上下文信息之间的关系,主要包括2个模型:CBOW(continuous bag-of-word)和SG(skip-gram),从一个简单版本的CBOW模型介绍,上下文只考虑一个词的情形,如图1所示,

图1
假设只有一个隐层的神经网络,输入层以及输出层均为词的one-hot编码表示,词表大小假设为V,隐层神经元个数为N,相邻层的神经元为全连接,层间的权重用V*N的矩阵W表示,隐层到输出层的activation function采用softmax函数,

其中wI,wj为词表中不同的词,yj为输出层第j个神经元的输出,uj为输入层经过权重矩阵W到隐层的score,uj’为隐层经过权重矩阵W’到输出层的score。训练这个神经网络,用反向传播算法,先计算网络输出和真实值的差,然后用梯度下降反向更新层间的权重矩阵,得到更新公式:
![]()


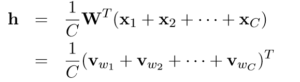
其中,η为更新的步长,ej为模型预测以及真实值之间的误差,h为隐层向量。
图2为上下文为多个词时的情况,中间的隐层h计算由

改为

即输入向量为多个上下文向量相加求平均,后续的参数学习与上文的单个词的上下文情况类似。遍历整个训练集context-target词对,经过多次迭代更新模型参数,对模型中的向量的影响将会累积,最终学到对词的向量表示。(
Skip-gram跟CBOW的输入层和输出层正好对调,区别就是CBOW是上下文,经过模型预测当前词,而skip-gram是顺利获得当前词来预测上下文。

图2
现在为止,对词表中的每个词,有两种向量表示:input vector和output vector,对应输入层到隐层权重矩阵W的行向量和隐层到输出层权重矩阵W’的列向量,从等式4、5可以看出,对每一个训练样本,都需要遍历词表中的每一个词,因此,学习output vector的计算量是非常大的,如果训练集或者词表的规模大的话,在实际应用中训练不具可操作性。为解决这个问题,直觉的做法是限制每个训练样本需要更新的output vectors,google提出了两个方法:hierarchical softmax和negative sampling,加快了模型训练的速度,在此不做展开讨论。
2.2 item2vec
由于wordvec在NLP领域的巨大成功,Oren Barkan and Noam Koenigstein受此启发,利用item-based CF学习item在低维latent space的embedding representation,优化item的相关推荐。
词的上下文即为邻近词的序列,很容易想到,词的序列其实等价于一系列陆续在操作的item序列,因此,训练语料只需将句子改为陆续在操作的item序列即可,item间的共现为正样本,并按照item的频率分布进行负样本采样。

图3
Oren Barkan and Noam Koenigstein以SVD作为baseline,SVD的隐类以及item2vec的维度都取40,用Microsoft Xbox Music service收集的 user-artists数据集,对结果进行聚类,如图3所示,图a是item2vec的聚合效果,图b是SVD分解的聚合效果,看起来item2vec的聚合效果要更好些。
作者尝试将item2vec应用到九州酷游官网数据的相关推荐当中,由于资讯、短视频类的场景一般的陆续在item操作会比较多,因此天然的非常适合用item2vec来训练item的向量表示,从实际的训练结果和线上评估来看,item2vec对CTR提升是有明显帮助的。
